Chapter 5
Modeling and Simulation of Wind Turbine System
- STANDALONE WIND ENERGY SYSTEM
- Size OF WIND SYSTEM COMPONENTS
The sizing methodological analysis adopted for the bing Wind power system for the small town Umrikheda is explained consistently as follows:
- Calculation of electric burden
The burden of small town Umrikheda 150 kWh/day can be operated by the proposed base entirely weave energy system. The elaborate size methodological analysis adopted for day-to-day electrical burden of the distant small town Umrikheda which is operated by the present WIND system is given in below Table 5.1.
Table 5.1: Electrical burden of small town Umrikheda
S. No. | Energy ingestion ( Wh/day ) | |
1 | Families | 98,500 |
2 | Street illuming | 15,800 |
3 | School | 26,500 |
4 | Others | 9200 |
Entire | 150 kWh/day |
The entire day-to-day electric burden of the small town
The designed burden for the air current energy system must be higher than the entire electrical burden of the location because at the clip of operation burden fluctuations and power losingss are occurs in the air current turbine system.
The designed burden for the air current turbine system
From equation ( 5.2 ) the day-to-day electrical ingestion for planing of air current turbine energy system is obtained as 225 kWh/day. The factor 1.5 is known as Fudge factor. This accounts for efficiency losingss, wiring and interconnectedness losingss and besides the battery charging and discharging losingss in the WES constituents.
- size of air current turbine
The selected air current turbine must fit the air current features at the site and it should bring forth optimal energy with a high capacity factor ( CF ) to run into the electrical energy demand. The Turbine size is determined utilizing Eq. ( 5.4 ) . Based on the power equation of air current turbine the diameter of turbine is considered 18 m so that the swept country of the air current turbine for the bing power system is obtained with the usage of diameter. The power equation for air and turbine are given as follows.



Where ? is the air denseness and its value is 1.225, CPhosphorusis power coefficient with changeless value 0.59, A is the swept country of the selected air current turbine and V is the mean hourly air current velocity of the location which is 4.5 m/sec. based on Eq. ( 5.4 ) the power of one air current turbine is obtained as 8.38 kilowatt. The entire figure of wind turbine required to carry through the load demand of the location is 27 turbines each of 8.38 kilowatt capacities.
- Sizing of battery bank
The battery bank size in kW hr can be determined by the Eq. ( 5.5 ) . For bettering life of battery and for back-to-back cloudy yearss the figure of autonomy yearss is considered as 3 yearss in the proposed air current power system. The deep cycling will be occasional during nebulose yearss and therefore better the battery life. The three yearss of liberty was used by zero energy visitants centre ( ZEVC ) located at the Van Ness Campus of University of the District of Columbia as reported in 2006 by the Center of Excellence for Renewable Energy ( CERE ) [ 7 ] .
Battery bank Size




Here the figure of autonomy yearss is considered 3 yearss and the maximal deepness of discharge for the battery bank is taken 75 % . The size of battery bank is 900 kWh calculated by Eq. ( 5.5 ) .
- Capacity of battery bank
The capacity of the battery bank in ampere-hours can be evaluated by spliting the safe energy storage required by the DC electromotive force of one battery as shown in Eq. ( 5.6 ) . In the bing system we have chosen the evaluation of battery is 12 V and 350 Ah.


Harmonizing to the obtained capacity of the battery bank from Eq. ( 5.6 ) , another determination has to be made sing the capacity of each of the batteries of that bank. The battery bank is composed of batteries that are connected in series and in parallel harmonizing to the selected battery electromotive force evaluation and the system demands.
- Number of batteries
The entire figure of batteries is obtained by spliting the capacity C of the battery bank in ampere-hours by the capacity of one of the battery selected in ampere-hours which is calculated by Eq. ( 5.7 ) .


The figure of batteries required for the system is obtained from the Eq. ( 5.7 ) is 214.28 which is rounded to 216 batteries. The connexion of batteries can easy be figured out by happening out the figure of series and parallel affiliated batteries. With system DC-voltage of 48 V, the figure of batteries connected in series is obtained by Eq. ( 5.8 ) .


The figure of series connected batteries is determined by Eq. ( 5.8 ) which is 4. With the usage of this value we can cipher the batteries connected in analogue or the figure of strings by Eq. ( 5.9 ) which is as follows.
No. of strings ( batteries connected in analogue )


The figure of parallel strings of four series connected batteries is determined by Eq. ( 5.9 ) . The entire figure of batteries is 216 which can be arranged in 54 parallel strings and each of the twine consists of 4 series connected batteries. The Ah capacity of battery bank gets added when batteries are connected in analogue and remains same when batteries are connected in series.
- Converter sizing
The convertor size is chosen as it fulfills the burden demand when the system is non runing. The dc electromotive force of the bing system is 48 V so the convertor must be chosen which takes the Ac end product from the air current turbine and change over it into 48 V District of Columbia. The evaluation of convertor should ne'er be lower than the system evaluation, it is ever 10 % higher than the system evaluation. The size of convertor for the present system can be calculated by Eq. ( 5.10 ) .


The mean power of the contraptions that may run at the same time at the same clip is taken as 40 kilowatt. So the needed convertor must be capable of managing 40 kilowatt.
- Cost OF SYSTEM COMPONENTS
- Cost of turbine
Turbine is dwelling of four chief constituents as Blades, Hub, nose cone and tower. The cost of all these constituents is sums up for finding the entire cost of air current turbine. The below look shows the entire cost of turbine as follows.


In the present survey we have used WES 5 Tulipo type air current turbine. The cost of one air current turbine is a‚? 51000 and the entire cost of air current turbine is obtained as a‚? 1,377,000.
- Cost of battery bank
The cost of battery bank can be calculated on the footing of existent size of the battery bank. Cost of battery bank can be calculated by the Eq. ( 5.12 ) . The cost of one battery bank is multiplied by the entire figure of batteries to cipher the coat of battery bank.



The cost of one battery of bank is a‚? 13000 as reported by SECO [ 6 ] and besides reported in website [ 13 ] .
- Cost of convertor
The cost of convertor can be calculated by below Eq. ( 5.13 )


The cost of convertor determined by Eq. ( 13 ) is a‚? 178479824.
- Capital investing cost of air current energy system ( CO)
The capital cost of air current power system includes the construction cost and the cost of land used for the system. In the present survey the land required for puting air current turbines and batteries is 5000 pess2. Cost of land in the proposed small town Umrikheda is 555.5 Rs/feet2. So, the entire monetary value of land is a‚? . 2,800,000 approximate. The capital investing cost of the air current system is calculated by below Eq. ( 5.14 ) .



The balance of system or construction cost is about 20 % of the entire air current system constituent cost which is widely assumed all over the universe as reported by SECO [ 6 ] Besides, assume that cost of securing the land for the air current energy system is 20 % of the entire air current system component cost. Based on these premises, the capital cost ( CO) for the air current system is determined utilizing above combining weight. ( 5.14 ) .
- Operating and care cost of the system
The operating and care cost for the proposed system is 2 % of the capital cost of the system. The computation of the operating and care cost is as given by Eq. ( 5.15 )


The operating and care cost of is added to the capital investing cost of the system to happen out the modified cost of the system. So, the modified capital investing cost of the system is a‚? 10,734,233.24 with the usage of Eq’s. ( 5.14 ) and ( 5.15 ) .
- LIFE CYCLE COST ANALYSIS FOR WT SYSTEM
- Replacement cost of battery bank system
In the present Wind energy system the life of air current turbine and the battery is considered as 30 old ages and 5 ears severally and the life rhythm cost analysis is based on the life clip of both the turbine and the battery. The subsidised involvement rate usually offered by authorities sectors in India to advance the usage of renewable energy applications is 4 % . So, we have taken the rate of involvement is 4 % for our system. In India the old batteries are replaced on the discount of 7 % on entire cost of battery. With the premise of unvarying replacing of battery throughout the life of the system the replacing cost of battery bank after 5 old ages is calculated by Eq. ( 5.16 )



In the present system the replacing cost of batteries is obtained as a‚? 2611440.
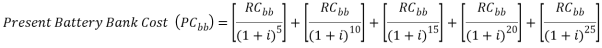
- Present Battery bank cost
The present cost of battery bank for future investings at every five old ages interval can be determined by combining weight. ( 5.17 ) as follows:

( 5.17 )


The present battery bank cost is obtained as a‚? 7547648.06 with 4 % involvement rate. 4 % is the subsidised involvement rate usually offered by authorities sectors in India to advance the usage of renewable energy applications. In this life rhythm cost analysis the salvage value ( S ) of WT system at the terminal of 30 old ages life was assumed equal to the present cost of balance of system since the depreciation of balance of system was considered tantamount to the rate of escalation in the monetary value of structural steel per kilogram.
- Present Salvage value of WT system
The present salvage value of the system can be calculated by Eq. ( 5.18 )


- Net Present cost of WT system
Net present cost of WT system ( CInternet) is determined as summing up of capital investing ( CO) , all other cost constituents converted into present cost and subtracted by present salvage value. The net present cost of PV system was determined utilizing Eq. ( 5.19 ) as follows:


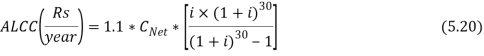
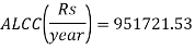
- Annualized Lifecycle Cost of WT system
The annualized life rhythm cost of WT power system over the 30 old ages lifetime is expressed mathematically utilizing Eq. ( 5.20 ) [ 14 ] as follows



- Capacity use factor ( CUF )
The capacity use factor can be calculated by the undermentioned Eq. ( 5.21 ) . The CUF is calculated to ease the unit cost of electricity.


The CUF is obtained by the above Eq. which is basically a step of electrical energy generated per KW of installed capacity per twelvemonth.
- Capital recovery factor ( CRF )
The below Eq. ( 5.22 ) shows the look of capital recovery factor. It is used to find the sum of each hereafter rente payment required to roll up a given present value for known values of involvement rates and figure of payments.


4 % is the subsidised involvement rate usually offered by authorities sectors in India to advance the usage of renewable energy applications.
- Unit of measurement cost of electricity ( UCE )
Using the capacity use factor the unit cost of electricity can be calculated by below Eq. ( 5.23 ) .


Where COis the capital cost, m is the fraction of capital cost used on operation and care of the system and P is the capacity of the air current power coevals system.
- Payback period
The EPBT signifies clip period required by energy output for counterbalancing the energy investings on the Stand Alone Wind Turbine power works. The energy payback clip for the bing SAWT system installed on steel construction over the land surface can be calculated based on the below Eq. ( 5.24 ) .

The payback period for the proposed Wind Turbine system is calculated as 14.43 old ages with a‚? 9 Per unit cost of the system running for 30 old ages.
- Carbon monoxide2EMISSION MITIGATION AND CARBON CREDIT POTENTIAL FROM PROPOSED SAWT SYSTEM
The C recognition potency of Wind power system is determined on the footing of entire sum of CO2emanations extenuation from the system in its life clip. The Co2emanation and C recognition potency are given by the below expression.
- Co2emanation mitigated from WT system
Conversion of Energy through Wind Turbine ( WT ) system is one of the more dependable and environmental friendly renewable energy engineerings which have the possible to lend significantly in the development of sustainable energy systems for coevals of power. It besides plays an of import function in CO2emanations extenuation. To cipher the entire CO2emanations mitigated from the present SAPV power system a mathematical calculation is carried out. The mean strength of CO2emanation from coal thermic power works in India is 1.57 kg/kWh [ 1, 16 ] . The entire extenuation of CO2emanations from the bing SAWT system for 30 old ages life can be calculated utilizing Eq. ( 5.25 ) as follows:

( 5.25 )

A air current turbine power system does non disperse immense sum of heat energy into the environing environment and saves a big sum of CO2emanations. Hence, WT systems are eco friendly systems and a good option for power coevals and must be preferred where electricity is non available or grid power is costlier.
Carbon Credit potency of proposed WT system
The entire sum of C recognition earned by proposed Wind Turbine power system can be calculated by the undermentioned Eq. ( 5.26 ) as follows.

( 5.26 )

The factor considered in Eq. ( 5.26 ) is a‚? 1760/ton of CO2extenuation represents the pecuniary value of one C recognition for extenuation of 1 ton of CO2emanation [ 18 ] .
- Consequence of C recognition potency
The CO2emanation extenuation from the bing power system is estimated as 88.31 tons/year from Eq. ( 5.25 ) for n peers to 1 twelvemonth. The entire CO2emanation mitigated by bing PV system in 30 old ages life clip is estimated utilizing Eq. ( 5.25 ) as 2649.375 dozenss. The C recognition from the bing WT system is obtained utilizing Eq’s. ( 5.25 ) and ( 5.26 ) . The C recognition affects the unit cost of electricity produced from non-polluting WT power system.
- Consequence
The life rhythm cost analysis is carried out for the presented standalone Wind Turbine power system and the cardinal consequences obtained are listed in Table 5.4.
The unit electricity cost utilizing Wind Turbine systems were estimated as a‚? 9/kWh for the involvement rate of 4 % , 30 old ages life of WT system and 5 old ages life of battery bank.
Table 5.2: Consequences of WT power system
S.No. | Component | Cost ( a‚? ) |
1 | Wind Turbine | 1,377,000 |
2 | Battery bank | 2,808,000 |
4 | Converter | 1,784,798.4 |
5 | Capital investing | 10,734,233.24 |
6 | Battery replacing | 2,611,440 |
7 | Salvage value | 3,313,034.95 |
8 | Net nowadays value | 14,968,882.35 |
9 10 11 | Unit of measurement cost of electricity Carbon monoxide2emanation mitigated Carbon recognition earned | 9/kWh 2649375 dozenss or 88.31 tons/yr a‚? 4519833.75 or a‚? 150661.125/yr |
The energy consumed by the burden per twelvemonth was determined as 56250 kWh/year and matching CO2 emanation mitigated is estimated as 88.31 tons/year. The entire CO2 emanation mitigated by bing PV system in 30 old ages life clip was estimated utilizing Eq. ( 5.25 ) as 2649.375 dozenss.