APPLICATION OF MODERN TECHNOLOGIES IN COMBATING SECURITY THREATS IN NIGERIA
Abstraction
The addition of offenses in Nigeria is upseting. The rate of incidents of abduction, plundering and vandalization of public public-service corporation installations are going dismaying. In this paper, an effort is made to propose ways of supervising some of the public-service corporation installations. Wireless monitoring in Wide Area Network ( WAN ) is recommended every bit good as turn uping the detector nodes inside manned Stationss in other to do it hard for illegal meddling of the detector elements. Most of the relays and other equipment recommended are already in being. So the cost of execution of the monitoring systems will be low.
Cardinal words: monitoring, vandalization, dismaies, public-service corporation installations, modern engineering.
- Introduction
The state is soon faced with batch of security challenges. There are instances of terrorist act, abduction, plundering and vandalization of public utilities. There are incidents of oil pipe line and electric power installation vandalization. These amazing Acts of the Apostless have negative effects in our economic system and societal lives.
Technology has simplified most of the undertakings but whether we are good equipped to follow these modern constructs in work outing these jobs is another inquiry.
Nigeria successfully lunched her ain orbiter in the infinite, far off in China. We congratulated ourselves. At the least, it is a spring in the forward way ; but one uncertainties if we have started harvesting maximal benefits from it
Satellite can be used to work out our internal jobs, including security, because, non merely that it can be used to split offenses, but it can besides be used to place felons. Satellite can be used to supervise our oil pipe lines and electric power installations that are frequently prone to vandalization. If we were luckier and hold proficient installations and good trained forces, possibly the abduction of Chibok misss and other similar offenses would hold been nipped on the cod.
Thank God, the federal authorities and others are turn toing the issues with the energy and earnestness it deserves. Particular work force preparation in some of these modern engineerings is of extreme importance so that Nigeria can utilize her installations to work out her pressing domestic jobs.
There are other methods, apart from satellite surveillance, that can be used to supervise our installations that are more frequently prone to vandalization. These methods are discussed in the undermentioned subdivisions.
2.0 ELECTRIC POWER FACILITIES
2.1 Power transformer monitoring
More frequently, due to ignorance, power and distribution transformers are vandalized, while in hunt of the alleged ‘quicksilverand/ ordiamond’ which produces visible radiation ( harmonizing to them ) . There is no such stuff in the transformer that justifies such harm. The purpose of the vandals is ever to run out the transformer oil in other to catch the cherished stuffs and in the procedure harm the transformer.
The transformer oil can be monitored in many ways, such as ( I ) usage of unstable degree sensor ( two ) usage of gas relay.
2.1.1 Fluid degree monitoring.
There are two ways the fluid degree can be monitored. ( I ) float mechanism method and ( two ) the immersed electrode method. The immersed electrode method can non be discussed here because transformer oil is non a good music director of electricity.
2.1.2 Float mechanism method
In this method, the float ball is meant to drive the rheostat wiper ; such that the out put electromotive force is relative to the fluid degree. See fig.1.
When the fluid degree beads to indicate E1, the wiper place is at point Tocopherol on the variable resistor so that the end product electromotive force gets to the threshold ( fig 1a ) . The out put electromotive force is converted to frequence which is modulated, amplified and transmitted to the security locations.
At the security location, the signal is received, demodulated and rectified to direct current that is used to pick the relay, R in fig1b.
Contacts, K1 and K11are used to exchange on the hearable and ocular dismaies, severally. See fig2. Fig2 can be used for every bit many transformers as possible at the inputs K1 to Kn ( hearable dismay ) and K11to Kn1( ocular dismay ) .

2.1.3 Gas force per unit area Relay ( Buchholze Relay )
The basic relay, shown in fig3, is designed to observe certain sum of gas in the transformer. The relay is ever located between the transformer chief armored combat vehicle and the curator armored combat vehicle.
When oil is being drained from the transformer, air replaces the displaced oil. At certain degree, the air builds up force per unit area that is capable of runing the quicksilver switch which is pivoted as shown in fig3. The electromotive force from the contact is converted to frequence and transmitted to the security stations for dismay coevals. The basic gas relay uses the quicksilver switches operated by air/gas force per unit area. One signifier of gas relay is shown in fig3 and the conventional diagrams are shown in Figs 4 and 2. When the gas relay operates, the contacts near and remain like that until the air content in the enclosure is removed.



In Fig 3, the quicksilver switch is pivoted atVolt. When there is force per unit area from the gas, the switch jousts as shown, to enable the liquid quicksilver to bridge the two contacts and allows the District of Columbia. electromotive force to go through on to the logic circuit. Stage-1 operates when there is minor oil escape ( pressure=P1 ) at this phase, no external dismay is generated. When there is high discharge of oil, gas force per unit area, P=P1.P2. At this phase, both quicksilver switches operate to bring forth dismay ( figs 4 and 2 ) .
2.2 ELECTRIC POWER LINE Monitoring
In electric power line monitoring, usage is made of the electric resistance of the line, Z’ , which is normally quoted as R+JX per kilometre length of the music director. The line can be divided into four subdivisions ( S1, S2. S3 and S4 ) .If the length of the line is L, the relay scenes can be achieved as follows:
Primary electric resistance of the line,
.
Omega+is the positive sequence electric resistance of the line
While Z0is the nothing sequence constituent of the line
Secondary electric resistance, Zs, of the line=Zp*CTR/VTR ( 2 )
Where CTR=Current transformer ratio and
VTR=Voltage transformer ratio.
Now assign the range of the relay as follows:
S1=25 % of the line
S2=50 % of the line
S3=70 % of the line
And S4= 100 % of the line
For line subdivision, S1, the range,
Section S2, the range,
Section S3, the range,
and S4=Zs*1.0
The clip puting for the ranges is such that S1t & lt ; S2t & lt ; S3t & lt ; S4t. where Sxt is the clip puting for subdivision Sx.
The significance of these scenes is that the relay operates any clip it sees impedance less than the preset value after a preset clip. The indicants displayed by the relay will demo the subdivision of the line that is being vandalized. See fig 2.



3.0 PIPE LINE Monitoring
In pipe line, one or more of the undermentioned parametric quantities can be monitored ;
- Discharge, Q=Va ( 7 )
- Pressure, P=F/a ( 8 )
- And speed, V=dx/dt ( 9 )
Where, a= transverse sectional country of the pipe
and F= the force driving the fluid
*
Where D is the diameter of the pipe
Solving for D in Equ.10,
*
The wall thickness, T, of the Pipeline must be such to defy the internal fluid force per unit area,P,in the thin or thick cylindrical grapevine.
Basically, the thin cylindrical equation will be applied when:
- Stress across the grapevine subdivision is unvarying
- The internal diameter of the grapevine subdivisionCalciferolis& gt ;20t Internet Explorer

- The allowable emphasis
is more than six times the force per unit area inside the pipePhosphorusInternet Explorer.
The look for the, wall thickness,T,of the grapevine is given as,


Where,
is the efficiency of longitudinal articulation and C is the Weishack invariable
3.1 Mathematical modeling
See a cylindrical shell of a force per unit area vas transporting oil fluid which is subjected to a high internal fluid force per unit area,p. The wall of the cylinder must be thick plenty to defy the force per unit area.
Assuming that the tensile emphasiss are uniformly distributed over the subdivision of the walls, and if ;
R0= outer radius of the cylindrical shell,
RI= interior radius of the cylindrical shell
T = thickness of the cylindrical shell = R0-RI
P = strength of internal force per unit area
= poisson’s ratio
= digressive emphasis and
= radial emphasis.
Using lame’s jurisprudence ;

Now, radial emphasis at any radiustenis given by

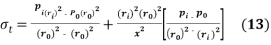
Now if internal force per unit area, PI=P and external force per unit area, P0=0,
From Equation 12, the digressive emphasis at any radius,ten,is given by.
=
[ 1+
] ( 15 )
=
[ 1+
]( 16 )
From Eqns. ( 15 ) and ( 16 ) , the digressive emphasis is a tensile whereas the radial emphasis is a compressive.
Again, the digressive emphasis is Maximum at the interior surface of the grapevine Internet Explorer.x= RIand it is minimal at the outer surface of the shell Internet Explorer.ten = R0
By taking the value ofx=RIandten = R0in Equ. ( 15 ) and ( 16 ) , the Maximum digressive emphasis at the interior surface of the grapevine is given by,
=
( 17 )
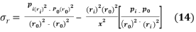
While the minimal digressive emphasis at the outer surface of the shell is given by,
=
( 18 )
= -p ( Compressive ) and at
=0
4.0 METHODOLOGY
Each of the distant Stationss have direct communicating nexus with themselves and the chief station as shown in fig6 so that any dismay can be received by all the Stationss, including the chief station.
4.1 SENSOR NODES
The detector nodes are arranged as shown in fig7. The detector nodes are located at the in put terminuss of the distant Stationss for security ground.
A puncture at pointFin fig 7 will be detected by the detector node at RS2. Since the force per unit area at RS1 is normal, no dismay will be generated at that station. The dismay from RS2 therefore indicates that the puncture is between RS1 and RS2.

4.2 CONTROL SIGNALS
The electromotive force end product of the detector is converted to frequence, processed and transmitted through broad country web ( WAN ) ( see Fig 6 ) . At the having terminals, the signal is converted back to electromotive force and used to bring forth dismaies as shown in fig 2. Fig 8 shows the rule of force per unit area measuring while fig 9 is that for the flow rate.


5.0 Decision
The radio monitoring system for the public-service corporations is presented. Some of the detection relays are already available but their control circuits need to be modified in other to accommodate the intent. The interesting thing about the theoretical accounts is that all the detectors are located indoors manned Stationss. So the fright of illegal fiddling with the detectors elements is eliminated. The dismaies are arranged in such a manner that the vandals are caught incognizant. Nigeria needs more trained work force in utilizing the orbiter to observe offenses.
Mentions
- Kaufmann W Fluid mechanics Tata-McGraw Hill saloon. Coy New Delhi1972
- Dugdale RH, Bannister WS Fluid mechanics. Macdonald and Evans LTD Plymouth, 1977.
- Sawhney AK. Acourse in electrical/electronic measurings & A ; instrumentation.Dhanpat Rai & A ; coy Delhi 2006
- Moodie, D Costello L, McStay D, Optoelectronic leak sensing system for supervising subsea constructions, in: Proceedings of the SPIE, Vol. 7726, Brussels, Belgium, April 2010
- Hennigar GW, Leak sensing: new engineering that works, Gas Industries 37 ( January ) 1993
- . Nwilo Personal computer, Badejo OT Impacts of oil spillage along Nigerian seashore The Association for Environmental, 2001.
- Ezechukwu OA, Nnebe SI, Idigo VE, Azubogu AO..Real-time Experimental Model for Outdoor Wireless Sensor Network. NIEEE proc. Oct. 2013
- Greg Stanley, “Pipeline Diagnosis Emphasizing Leak Detection - An Approach and Demonstration” , - A White Paper,April 22, 2012.
- Ezechukwu OA. A theoretical account of distance protection. IJERD Vol 3 Issue10 Sep. 2012
Joaquim A.R. Azevedo, Filipe Edgar Santos, “Signal Propagation Measurements with radio detector Nodes 2007.